Abstract: Modified multiplex PCR for serotyping and pathotyping of Streptococcus suis
Introduction. Streptococcus suis is a zoonotic pathogen that causes invasive infections in humans who have been in...
1Department of Agricultural Education and Communication, University of Florida, Gainesville, FL, United States
2Texas Tech University School of Veterinary Medicine, Amarillo, TX, United...
1Unit of Veterinary Public Health and Epidemiology, Institute of Food Safety, Food Technology and Veterinary Public Health, University of Veterinary Medicine, Vienna, Austria
...
Abstract
Nutrients in agricultural runoff may cause offsite environmental impacts. The objective of this investigation was to examine nutrient transport by overland sheet flow on...
Experimental approaches and nutritional insights
Authors: Dr. Laura Merriman, Swine Technical Service at AB Vista
Carrie Walk, Head of Research and Development
Gustavo Cordero, Global Swine Technical...
Highlights
•
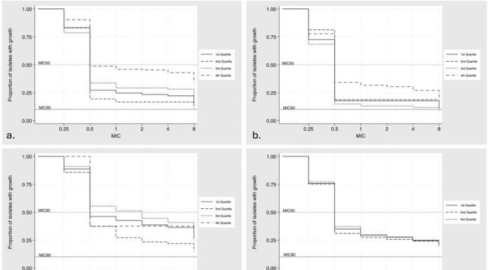
Weaned pig isolates had lesser associations with MIC values and both enrofloxacin or ceftiofur compared to older pig isolates.
•
Isolates from farms with...
Brooke Anderson, M.S., Account Manager, Innovative Solutions
Chuck Woods, Product Direct Sales Manager, KENT Nutrition Group
Sow mortality continues to be a significant cause of decreased...
first_page
Download PDF
settings
Order Article Reprints
Open AccessArticle
Comparison of the Minimum Inhibitory and Mutant Prevention Drug Concentrations for Pradofloxacin and 7 Other Antimicrobial...
Thomas E. Weber Ph.D., Innovative Solutions, Kent Nutrition Group
Download the complete report
Probiotic strains of Lactiplantibacillus plantarum (L. plantarum; formerly Lactobacillus plantarum) have been used...
Abstract
Visceral cysticercosis, caused by Taenia hydatigena, is an uncommon parasitic condition in swine that presents significant implications for both animal health and food safety....












